5.5 厭氧池
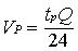
厭氧池指非充氧池(區),溶解氧濃度一般小于0.2 mg/L,主要功能是進行磷的釋放。根據《厭氧-缺氧-好氧活性污泥法污水處理工程技術規范》(HJ576-2010)中厭氧池有效容積計算公式為:

tp——厭氧池(區)水力停留時間,根據規范選用2h;
Q——污水設計流量,m³/d;
5.6 缺氧池
缺氧池指非充氧池(區),溶解氧濃度一般小于0.2 - 0.5 mg/L,主要功能是進行反硝化脫氮。根據《厭氧-缺氧-好氧活性污泥法污水處理工程技術規范》(HJ576-2010)中缺氧池有效容積計算公式為:

Q——污水設計流量,m³/d;
Nk——生物反應池進水總凱氏氮質量濃度,mg/l;
Nte——生物反應池出水總氮質量濃度,mg/l;
△Xv——排出生物反應池系統的微生物量,kg/d;
Kde(T)——T℃時脫氮速率(NO3-N/MLSS),kg/(kg•d);
X——生物反應池內混合液懸浮固體(MLSS)平均質量濃度,g/l;
Kde(20)——20℃時的脫氮速率(NO3-N/MLSS),kg/(kg•d),宜取0.03-0.06;
T——設計水溫,℃;
y——單位體積混合液中,MLVSS占MLSS的比例,g/g;
Yt——污泥總產率系數(MLSS/BOD5),kg/kg,;宜根據試驗資料確定,無試驗資料時,系統有初沉池時取0.3-0.5,無初沉池時取0.6-1.0;
So——生物反應池進水五日生化需氧量濃度,mg/l;
Se——生物反應池出水五日生化需氧量濃度,mg/l。
根據水力停留時間校核:2-4h

q——設計污水流量,m³/h;
t——水力停留時間,h;
配置設備:缺氧池填料填充率按設計標準選定。
云南筑泓環保設備制造有限公司是一家集鎮村分散式污水處理設備的研發、制造、銷售為主的國家高新技術企業,擁有核心技術“復合式膜法工藝”及相關技術,提供從投資到設計規劃、建設、運營的“一站式環保管家”綜合服務商,率先將互聯網+智慧治水+管家運維模式、應用于鎮村污水治理中,我們堅持“實用為本、別具匠心”、專注于產品的標準化、高效化、節能化、智能化、規模化,以自身發展創造更多機會、推動行業發展、建設美麗中國夢。
云南筑泓環保設備制造有限公司是一家立足于云南面向西南片區以污水處理設備設計,生產,銷售及安裝為一體的現代化高科技環保污水處理設備生產廠家。主要研發生產銷售污水處理設備,凈水設備,雨水收集設備等污水處理制品和一體化污水處理設備的設計,生產,銷售及安裝。
作為知名的污水處理設備的技術開發生產企業,我們將繼續在科技創新上狠下功夫,不斷致力于污水處理設備的高性能化、高功能化、最佳復合化和環境友好化的研究與開發,體現新材料在高技術領域中的應用,不斷滿足社會發展的需求。 以凈化污水理念為指導,現代科學技術為手段,產學研結合為依托,做世界一流的污水處理設備的制造商,是公司發展的戰略目標。
云南筑泓環保設備制造有限公司是一家現代化高科技公司,經過10多年的風雨歷程,今天又站在了一個新的起點。邁向新的征程,筑泓人依然會堅定地秉持“誠信、創新、榮譽、務實”的企業精神,以最優的質量,最實惠的價格得到廣大客戶朋友的認可。公司堅持以市場需求為主導方向,以技術為核心競爭力,以產品為載體輸出,以質量為生存之道,以服務為保障宗旨,以積極的人生理念和飽滿的工作熱情去面對未來,走向成功,盡心竭力為每個客戶創造價值,實現合作共贏。





點擊聯系銷售QQ