6 工藝設計參數
設計處理能力:設計廢水處理規模為100m³/d,每天運行24h;設計小時流量為4.16 m³/h 。6.1 調節池
調節池是穩定污水處理系統進水水量,保證處理系統能夠穩定運行的構筑物。污水處理站是24h連續運行,調節池按2-4小時水力停留時間設計,即有效容積按4.16×6≈25 m³設計。調節池設計參考平流式沉淀池設計公式進行設計。結構及建筑形式:地埋式,玻璃鋼材質。
污水泵選型:由于市場上水泵的選型均大于所設計的流量,因此水泵的使用過程中需要設置分流管,用于水力攪拌。水泵的選擇建議選用1.25倍的設計流量選擇,設計流量可以通過閥門和轉子流量計進行精確的調整,保證進水流量與設計流量相同。水泵的運行方式為:(1)當水位達到啟泵水位時,水泵啟動;(2)水位下降至停泵水位時停泵,如此循環。
6.2 厭氧池
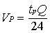
厭氧池指非充氧池(區),溶解氧濃度一般小于0.2 mg/L,主要功能是進行磷的釋放。根據《厭氧-缺氧-好氧活性污泥法污水處理工程技術規范》(HJ576-2010)中厭氧池有效容積計算公式為:
tp——厭氧池(區)水力停留時間,根據規范選用2h;
Q——污水設計流量,m³/d;
6.3 缺氧池
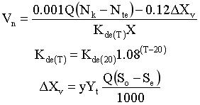
缺氧池指非充氧池(區),溶解氧濃度一般小于0.2 - 0.5 mg/L,主要功能是進行反硝化脫氮。根據《厭氧-缺氧-好氧活性污泥法污水處理工程技術規范》(HJ576-2010)中缺氧池有效容積計算公式為:
Q——污水設計流量,m³/d;
Nk——生物反應池進水總凱氏氮質量濃度,mg/l;
Nte——生物反應池出水總氮質量濃度,mg/l;
△Xv——排出生物反應池系統的微生物量,kg/d;
Kde(T)——T℃時脫氮速率(NO3-N/MLSS),kg/(kg•d);
X——生物反應池內混合液懸浮固體(MLSS)平均質量濃度,g/l;
Kde(20)——20℃時的脫氮速率(NO3-N/MLSS),kg/(kg•d),宜取0.03-0.06;
T——設計水溫,℃;
y——單位體積混合液中,MLVSS占MLSS的比例,g/g;
Yt——污泥總產率系數(MLSS/BOD5),kg/kg,;宜根據試驗資料確定,無試驗資料時,系統有初沉池時取0.3-0.5,無初沉池時取0.6-1.0;
So——生物反應池進水五日生化需氧量濃度,mg/l;
Se——生物反應池出水五日生化需氧量濃度,mg/l。
根據水力停留時間校核:2-4h

q——設計污水流量,m³/h;
t——水力停留時間,h;
配置設備:缺氧池填料填充率按設計標準選定。
6.4 好氧池
好氧池指充氧池(區),溶解氧濃度一般不小于2 mg/L,主要功能是降解有機物、硝化氨氮和過量攝磷。根據《厭氧-缺氧-好氧活性污泥法污水處理工程技術規范》(HJ576-2010)中好氧池有效容積計算公式為:


V0——好氧池(區)容積,m³;
Q——污水設計流量,m³/d;
S0——生物反應池進水五日生化需氧量濃度,mg/L;
Se——生物反應池進水五日生化需氧量濃度,mg/L;
θco——好氧池(區)設計污泥泥齡值,d;
Y1——污泥總廠率系數,kgmlss/kgBOD5,宜根據試驗資料確定,無試驗資料時,系統有初沉池時取0.3~0.5,無初沉池時取0.6~1.0;
X——生物反應池內混合液懸浮固體(MLSS)平均濃度,gMLSS/L
F——安全系數,取1.5~3.0;
H——硝化菌生長速率,d-1;
Na——生物反應池中氨氮濃度,mg/L;
KN——硝化作用中氮的半速率常數,mg/L,一般取1.0;
T——設計水溫,℃。
各個生物反應池所需要的氧的曝氣量不同,以下為曝氣量的測算方式:
根據規范,反應池設計需氧量按以下公式計算:

O2——設計需氧量,kgO2/d;
Q——設計水量;
S0——接觸氧化池進水,mg/l;
Se——接觸氧化池出水,mg/l;
ΔXv——排出系統微生物量,kg/d;
Nk——進水總凱氏氮濃度,mg/l;
Nke——出水總凱氏氮濃度,mg/l;
Nt——進水總氮濃度,mg/l;
Noe——出水硝態氮濃度,mg/l;
a——碳的氧當量,1.47;
b——氧化每公斤氨氮所需氧量,kgO2/kgN;
c——細菌細胞氧當量1.42。
供氣量校核
根據規范規定,對于生活污水、城鎮污水或水質與之類似的工業廢水,最小氣水比不宜小于2:1-3:1,最大氣水比不宜超過15:1-20:1。
混合液回流泵的設計:根據《厭氧-缺氧-好氧活性污泥法污水處理工程技術規范》(HJ576-2010),混合液回流比一般取值范圍為100 %-400 %,本項目根據規范規定,從范圍中取一定值作為本項目的回流比值。
6.5 MBR膜池
MBR為膜生物反應,是一種將膜分離技術與生物技術有機結合的新型水處理技術。利用膜對生化反應池內的含泥污水進行過濾,實現泥水分離。一方面,膜截留了反應池中的微生物,使池中的活性污泥濃度大大增加,達到很高的水平,使降解污水的生化反應進行得更迅速更徹底;另一方面,由于膜的高過濾精度,保證了出水清澈透明,得到高質量的產水。膜池設置 MBR 膜組件系統及配套的出水、反洗、清洗、吹掃等系統。MBR 膜區內的吹掃(曝氣)有兩個用途,一是用于膜組件周圍的氣水振蕩, 保持膜表面清潔, 二是為提供生物降解所需要的氧氣。通過膜的高效截留作用,全部細菌及懸浮物均被截流在曝氣池中,可以有效截留硝化菌,使硝化反應順利進行,有效去除氨氮;同時可以截留難于降解的大分子有機物,延長其在反應器中的停留時間,使之得到最大限度的降解。 剩余污泥通過膜區剩余污泥泵定期排出,可控制系統內活性污泥的濃度及污泥齡。
云南筑泓環保設備制造有限公司是一家集鎮村分散式污水處理設備的研發、制造、銷售為主的國家高新技術企業,擁有核心技術“復合式膜法工藝”及相關技術,提供從投資到設計規劃、建設、運營的“一站式環保管家”綜合服務商,率先將互聯網+智慧治水+管家運維模式、應用于鎮村污水治理中,我們堅持“實用為本、別具匠心”、專注于產品的標準化、高效化、節能化、智能化、規模化,以自身發展創造更多機會、推動行業發展、建設美麗中國夢。

云南筑泓環保設備制造有限公司是一家集鎮村分散式污水處理設備的研發、制造、銷售為主的國家高新技術企業,擁有核心技術“復合式膜法工藝”及相關技術,提供從投資到設計規劃、建設、運營的“一站式環保管家”綜合服務商,率先將互聯網+智慧治水+管家運維模式、應用于鎮村污水治理中,我們堅持“實用為本、別具匠心”、專注于產品的標準化、高效化、節能化、智能化、規模化,以自身發展創造更多機會、推動行業發展、建設美麗中國夢。




點擊聯系銷售QQ