污水處理站經濟技術指標一覽表
| 項 目 | 經濟技術指標 |
| 工程名稱 | 100 m³/d生活污水處理站工程技術方案 |
| 建設單位 | |
| 編制單位 | 云南筑泓環保設備制造有限公司 |
| 處理規模 | 100 m³/d |
| 處理工藝 | 調節池+A/O+MBR工藝的組合處理工藝 |
| 出水水質 | 出水水質達到中華人民共和國《城市污水再生利用 城市雜用水水質》(GB /T18920-2002)中的綠化用水水質標準,并回用于綠地灌溉 |
| 占地面積 | ----平方米 |
| 建造形式 | 地埋式.玻璃鋼材質一體化污水處理設備 |
| 質量標準 | 水質達標回用 |
| 設計人員 | 葛師、全師 |
| 審核人員 | 吳經理 |
1 概況
1.1 項目概況
建設單位積極響應當地政府政策要求,從環境治理以及提升區域總體基礎設施環境建設層次的角度出發,決定建設本污水處理站工程,對項目內產生的生活污水,實現處理達標回用于綠地灌溉。應貴方單位要求,本項目污水處理站工程的設計規模為100 m³/d,原水主要為生活污水,出水水質需要滿足中華人民共和國《城市污水再生利用 城市雜用水水質》(GB /T18920-2002)中的綠化用水水質標準。2 設計依據
2.1 標準規范
Ø 《城鎮污水處理廠污染物排放標準》(GB 18918-2002)Ø 《城市污水再生利用 城市雜用水水質》(GB/T18920-2002)
Ø 《室外排水設計規范》GB50013-2006
Ø 《地表水環境質量標準》(GB3838-2002)
Ø 《云南省地表水水環境功能區劃》(2010-2020年)
Ø 《環境空氣質量標準》(GB3095-2012)
Ø 《工業企業噪聲控制設計規范》(GB/T50087-2013)
Ø 《建筑結構荷載設計規范》(GB50009-2012)
Ø 《建筑地基基礎設計規范》(GB50007-2011)
Ø 《給水排水工程結構設計規范》(GB50069-2002)
Ø 《建筑抗震設計規范》(GB50011-2011)
Ø 《建筑結構可靠性設計統一標準》(GB50068-2001)
Ø 《地下工程防水技術規范》(GB50108-2008)
Ø 《供配電系統設計規范》(GB50052-2009)
Ø 《建筑防雷設計規范》(GB50057-2011)
Ø 《通用用電設備配電設計規范》(GB50055-2011)
Ø 《給水排水管道工程施工及驗收規范》(GB50268-2008)
Ø 其它行業標準及相關設計規范
2.2 基礎資料
(1)建設單位提供的水量、水質、用地等原始設計資料;(2)同類廢水處理設計經驗和工程實踐。
2.3 設計原則
(1)執行國家關于環境保護的政策,符合國家的有關法規、規范、標準以及云南省地方條例規定;(2)以技術先進可靠、經濟合理為原則,選擇滿足出水水質要求并且能適應當地條件、節約能耗、降低成本的處理工藝,科學安排運行方式;
(3)選擇高效節能、先進穩妥的污水處理工藝,提高處理效果,減少基建投資和日常運行費用,降低對周圍環境的污染;
(4)選擇國內外先進、可靠、高效、運行管理方便、維修簡便的排水專用設備;
(5)采用自動化程度較高、技術可靠,經濟合理的自控系統;
(6)妥善處理、處置污水處理過程中產生的柵渣、污泥,避免二次污染;
(7)適當考慮污水處理站周圍地區的發展狀況,在設計上留有余地。
2.4 設計范圍
(1)根據貴方建設規劃要求,本工程設計包括:處理工藝的設計和處理設備的選擇、配置和安裝。(2)在電力配置方面,本工程所需的供電電源由業主方提供,本工程不涉及供電方面的設計內容。
(3)在公用系統方面,本項目涉及到的用水由處理系統自行供給,用水主要包括MBR膜反洗用水和消毒劑的調配用水。
(4)包含整個污水處理工程項目的運營操作、管理的相關培訓。
3 設計水質水量及排放標準
3.1 設計規模
按業主要求,本項目設計廢水處理規模為100 m3/d。3.2 污水來源及性質
根據建設單位提供的相關資料,該項目污水是一種綜合生活污水,含有一定量的有機和無機污染物,可生化性較好,易生化降解,另外還含病菌、大腸桿菌和寄生蟲等,成份較為復雜。生活污水經化糞池處理后排入污水處理系統中進行處理。3.3 設計水質
3.3.1 設計進水水質
(1)本項目生活污水水質分析及出水水質確定本污水處理站工程所處理的原水為綜合生活污水,參考設計手冊中國內典型生活污水水質,及省內部分污水處理廠進水水質,具體水質指標如下表所示。
國內典型的生活污水水質
| 指標 | 濃度(mg/L) | 指標 | 濃度(mg/L) | ||||
| 高 | 中常 | 低 | 高 | 中常 | 低 | ||
| 懸浮物SS | 350 | 220 | 100 | COD | 1000 | 400 | 250 |
| 非揮發性SS | 75 | 55 | 2O | TN | 85 | 40 | 20 |
| 揮發性SS | 275 | 165 | 80 | 有機氮 | 35 | 15 | 8 |
| BOD5 | 400 | 200 | 100 | 氨氮 | 50 | 25 | 12 |
| 溶解性 | 200 | 100 | 50 | TP | 15 | 8 | 4 |
| 懸浮物 | 200 | 100 | 50 | 無機磷 | 10 | 5 | 3 |
省內部分污水處理廠進水水質 單位:mg/l
| 指標 | CODcr | BOD5 | TN | NH3-N | SS |
| 大理市第一污水處理廠2017年2季度監督監測進水水質 | 290 | 140 | 40 | 25.2 | 300 |
| 昆明市第三污水處理廠 | 150-200 | 70-130 | 25-30 | 21.4 | 100-300 |
| 昆明市第四污水處理廠 | 310 | 164 | 26.4 | 23.6 | 227 |
| 通海縣污水處理廠 | 437.6 | 124 | 30.3 | 24.6 | 310 |
| 江川縣污水處理廠 | 185.9 | 74.1 | 23.4 | 25.6 | 86 |
參考云南省內現有污水處理廠生活污水進水水質,與國內典型生活污水水質相比,處于低到中常之間,略偏向于中常水平。本項目涉及小區生活污水主要有:沖廁廢水、洗浴廢水、商業及公共建筑產生的污水,污水來源與現有城鎮污水處理廠進水非常相似。為保證本項目污水處理效果,進水水質綜合以上數據,按略高于現有污水處理廠進水水質且低于全國經典污水水質中常水平的前提下進行取值,具體數據見下表。
項目區污水設計進水水質 單位:mg/l
| 指標 | CODcr | BOD5 | TN | NH3-N | SS | TP |
| 本項目設計進水水質 | 350 | 180 | 50 | 26 | 200 | 2 |
1.1.1 設計出水水質:
根據貴方提供的相關資料,經本污水處理設施處理后的的出水水質需達到中華人民共和國《城市污水再生利用 城市雜用水水質》(GB /T18920-2002)中的綠化用水水質標準:主要水質標準值如下表:
城市雜用水水質標準:
| 序號 | 項目 | 沖廁 | 道路清掃、消防 | 城市綠化 | 車輛沖洗 | 建筑施工 | ||
| 1 | PH值 | 6.0~9.0 | ||||||
| 2 | 色度(度) | ≤30 | ||||||
| 3 | 嗅 | 無不快感 | ||||||
| 4 | 濁度(NTU) | ≤5 | ≤10 | ≤10 | ≤5 | ≤20 | ||
| 5 | 溶解性固體 | ≤1500 | ≤1500 | ≤1000 | ≤1000 | — | ||
| 6 | 五日生化需氧量BOD5(mg/L) | ≤10 | ≤15 | ≤20 | ≤10 | ≤15 | ||
| 7 | 氨氮(mg/L) | ≤10 | ≤10 | ≤20 | ≤10 | ≤20 | ||
| 8 | 陰離子表面活性劑 | ≤1.0 | ≤1.0 | ≤1.0 | ≤0.5 | ≤1.0 | ||
| 9 | 鐵(mg/L) | ≤0.3 | — | — | ≤0.3 | — | ||
| 10 | 錳(mg/L) | ≤0.1 | — | — | ≤0.1 | — | ||
| 11 | 溶解氧(mg/L) | ≤1.0 | ≤1.0 | ≤1.0 | ≤1.0 | ≤1.0 | ||
| 12 | 總余氯(mg/L) | 接觸30min總余氯≥1.0mg/L,管網末端≥0.2 mg/L | ||||||
| 13 | 總大腸菌群(個/L) | ≤3個/L | ||||||
1 廢水處理工藝的選擇
1.1 工藝選擇基本原則
(1)技術合理、實用性和可操作性污水處理站是建設項目配套的環保設施,起著污染治理和保護環境的雙重任務,在選擇工藝時應因地制宜,選擇成熟可靠、處理效果好的工藝,因此我們強調的是技術的合理性、實用性和可操作性,而不簡單地提倡技術的先進性。
(2)經濟節能
節省工程的投資是整個污水處理設施建設的重要前提。根據處理標準,選擇簡捷緊湊的處理工藝,盡可能地減少占地、力求降低地基處理和土建造價。同時,必須充分考慮節省電耗和藥耗,把運行費用減至最低。
(3)操作簡便,易于管理
在工藝選擇過程中,必須充分考慮該領域現狀運行管理水平,盡可能做到設備選型合理、維護方便、采用可靠實用的自動化技術。
(4)注重工藝本身對水質及其水量變化的適應性及處理出水的穩定性。
(5)為保證污水處理系統正常運轉,供電系統需有較高的可靠性,采用雙回路電源,且污水站運行設備有足夠的備用率。
(6)在污水站征地范圍內,廠區總平面布置力求在便于施工、便于安裝和便于維修的前提下,使各處理構筑物盡量集中,節約用地,擴大綠化面積,并留有發展余地。
(7)污水站豎向設計力求減少廠區填方量和節省污水提升費用。
(8)污水站建筑風格力求統一,簡潔明快、美觀大方,并與廠區周圍環境相協調。
1.2 污水站運行時間的確定
本項目中為有效節省污水處理系統構筑物及設備投資費用,同時為保證生化處理系統的正常運行,保證污水處理系統處理后出水水質,本項目污水站運行時間設計為24h。1.3 污水處理站建設形式
為保證污水站建成后不影響項目區及周圍景觀及方便操作維護檢修,污水處理站設備間為地上式,其余水池為全地下式,水池頂板根據甲方意愿可覆土500mm,進行綠化,最終與整體景觀有較好的協調和補充。1.4 常用工藝簡介
1.4.1 一級處理工藝簡介
一級處理也稱為預處理,多采用物理法,主要有格柵、沉淀、隔油、隔砂等,主要作用為去除污水中不溶解的懸浮物。①格柵,一般由一組平行的柵條組成,斜置于泵站集水池的進口處,去除水中懸浮物,污水中的污染物一般以三種形態存在:懸浮(包括漂浮)態、膠體和溶解態。污水物理處理的對象主要是可能堵塞水泵葉輪和管道閥門及增加后續處理單元負荷的懸浮物和部分的膠體,因此污水的物理處理一般又稱為廢水的固液分離處理。格柵運用原理懸浮固體受到一定的限制,廢水流動而將懸浮固體拋棄。
②隔油池,是指利用廢水中懸浮物和水的比重不同而達到分離的目的。隔油池的構造多采用平流式,含油廢水通過配水槽進入平面為矩形的隔油池,沿水平方向緩慢流動,在流動中油品上浮水面,由集油管或設置在池面的刮油機推送到集油管中流入脫水罐。在隔油池中沉淀下來的重油及其他雜質,積聚到池底污泥斗中,通過排泥管進入污泥管中。經過隔油處理的廢水則溢流入排水渠排出池外,進行后續處理,以去除乳化油及其他污染物。
③化糞池,是過濾沉淀的設備。其原理是固化物在池底分解,上層的水化物體,進入管道流走,防止了管道堵塞,給固化物體(糞便等垃圾)有充足的時間水解。化糞池(septic tank)指的是將生活污水分格沉淀,及對污泥進行厭氧消化的小型處理構筑物。
④調節池,廣義定義:指的是用以調節進、出水流量的構筑物。 狹義定義:為了使管渠和構筑物正常工作,不受廢水高峰流量或濃度變化的影響,需在廢水處理設施之前設置調節池。對水量和水質的調節,調節污水pH值、水溫,有預曝氣作用,還可用作事故排水。一般不連續排水時都要做成有水量緩沖功能的,若有多股水,水質差別較大,尤其是pH這樣進生化系統必須調整到正好這樣的參數有很大變化時,則應考慮均質。
綜合以上,管網匯水需流入化糞池中,發生水解酸化,使得固化物體沉降,并去除部分細菌。化糞池即為本項目的預處理方式。
1.4.2 二級處理工藝簡介
目前,常用的污水好氧處理工藝有:氧化溝法、SBR法、生物接觸氧化法、A/O法和A²/O工藝等技術。① SBR是序列間歇式活性污泥法(Sequencing Batch Reactor Activated Sludge Process)的簡稱,是一種按間歇曝氣方式來運行的活性污泥水處理技術,又稱序批式活性污泥法。與傳統污水處理工藝不同,SBR技術采用時間分割的操作方式替代空間分割的操作方式,非穩定生化反應替代穩態生化反應,靜態沉淀替代傳統的動態沉淀。它的主要特征是在運行上的有序和間歇操作,SBR技術的核心是SBR反應池,該池集均化、初沉、生物降解、二沉等功能于一池,無污泥回流系統。
②生物氧化接觸法,主要利用附著生長于某些固體物表面的微生物(即生物膜)進行有機污水處理的方法。生物膜是由高度密集的好氧菌、厭氧菌、兼性菌、真菌、原生動物以及藻類等組成的生態系統,其附著的固體介質稱為濾料或載體。生物膜自濾料向外可分為厭氣層、好氣層、附著水層、運動水層。其原理是,生物膜首先吸附附著水層有機物,由好氣層的好氣菌將其分解,再進入厭氣層進行厭氣分解,流動水層則將老化的生物膜沖掉以生長新的生物膜,如此往復以達到凈化污水的目的。老化的生物膜不斷脫落下來,隨水流入二次沉淀被沉淀去除,生物接觸氧化法的處理構筑物是浸沒曝氣式生物濾池,也稱生物接觸氧化池,其特點表現為污泥生成量少,不存在污泥膨脹問題。同時該系統內微生物對污水水質和水量的變動具有較好的適應能力,耐沖擊負荷能力較強,對毒性物質也有較好的抵抗性。在運行一定階段后污泥齡較長,微生物在種屬上呈多樣性,可以形成穩定的小生態系統。硝化菌和亞硝化菌也可以生長,具有一定的反硝化能力。
③ A/O法,是指污水在好氧條件下使含氮有機物被細菌分解為氨,然后在好氧自養型亞硝化細菌的作用下進一步轉化為亞硝酸鹽,再經好氧自養型硝化細菌作用轉化為硝酸鹽,至此完成硝化反應;在缺氧條件下,兼性異養細菌利用或部分利用污水中的有機碳源為電子供體,以硝酸鹽替代分子氧作電子受體,進行無氧呼吸,分解有機質,同時,將硝酸鹽中的氮還原成氣態氮,至此完成反硝化反應。
④A²/O,亦稱A-A-O工藝,即厭氧-缺氧-好氧,是應用最廣泛的脫氮除磷工藝。該工藝各反應器單元功能及工藝特征如下:1)厭氧反應器:原污水及從沉淀池排出的含磷回流污泥同步進入該反應器,其主要功能是釋放磷,同時對部分有機物進行氨化;2)缺氧反應器:污水經厭氧反應器進入該反應器,其首要功能是脫氮,硝態氮是通過內循環由好氧反應器送來的,循環的混合液量較大,一般為2Q(Q--原污水量);3)好氧反應器--曝氣池:混合液由缺氧反應器進入該反應器,其功能是多重的,去除BOD、硝化和吸收磷都是在該反應器內進行的,這三項反應都是重要的,混合液中含有NO3-N,污泥中含有過剩的磷,而污水中的BOD(或COD)則得到去除,流量為2Q的混合液從這里回流到缺氧反應器。
根據本項目污水處理工藝設計原則,出水水質標準等因素,對目前常用的污水好氧處理技術進行比較,其中建設投資參考環發2013年130號文,結果如下表所示:
常見污水好氧處理工藝比選表
| 工藝名稱 | 生物接觸氧化法 | SBR法 | 水解酸化法 | A/O法 | A²/O法 |
| 污染物去除率 | 較高 | 較高 | 低 | 較高 | 較高 |
| 占地面積 | 適中 | 適中 | 小 | 適中 | 適中 |
| 運行維護 | 運行時根據實際進水水質調節曝氣量 | 水量發生變化時要調整排水比和運行狀態,要及時觀察污泥狀態,保證污泥活性。 | 反應過程中產生的氣體要經過處理達標后方能夠排放 | 運行維護簡單 | 運行維護簡單 |
| 工藝特點 | 兼有活性污泥法和生物膜法的優點,表面積大、污泥濃度高、污泥齡長、氧利用率高、節省動力消耗、污泥產量少。 | 可在一個反應器中完成污水凈化、脫氮、除磷的過程,但運行過程中污泥活性對污染物去除率影響較大 | 對水質變化敏感,水力負荷、有機負荷變化較大時,會導致污水處理后無法達標,通過要與其他工藝聯合使用。 | 流程簡單,設置硝化、反硝化 ,具有脫氮除磷功能,污泥量較大。 | 投資費用少,減少污泥膨脹,抗沖擊負荷能力強,具有較高的脫氮除磷功能 |
通過以上比較,A/O法不但能取得比較滿意的脫氮效果,而且同樣可取得較高的COD去除率。綜合本項目實際情況,二級處理選用A/O法作為本項目生化處理工藝。
1.1.1 三級處理工藝簡介
污水深度處理常用技術主要有:過濾、吸附、離子交換、膜分離技術等工藝,深度處理能夠進一步處理生化處理中未能去除的污染物質,其中,過濾法是物理去除污染物的方法之一,該工藝運行維護簡單,建設成本較低,運行穩定。吸附工藝是利用吸附劑的表面能,將與之接觸的污染物質吸附在其表面,從而實現去除污染物的目的,吸附法主要用于去除水中的微量污染物,吸附工藝需要不定期更換吸附劑,污染物處理效果與吸附劑吸附能力有關,出水不是很穩定。離子交換法是用離子交換劑上的離子和水中離子進行交換,從而去除污水中污染物質的方法。離子交換劑很難再生,需要不定期更換交換劑,污染物去除效果與交換劑使用情況相關,出水不穩定。膜分離技術常用的方法有:電滲析、反滲透、超過濾、微孔膜過濾、MBR等。膜分離技術有以下特點:①分離過程不發生相變,能量轉化的效率高;②分離過程在常溫下進行,特別適于熱敏性物料分離、分級和濃縮;③適用范圍廣,分離效率高;④裝置緊湊,占地省,操作簡單,易于自動化等。綜合以上幾種深度處理工藝進行列表對比分析如下:
膜分離技術基本特性表
| 處理技術 | 處理對象 | 透過組分 | 使用條件 | 膜類型 | 推動力 |
| 電滲析 | 高鹽廢水 | 0.0004-0.1μm小離子 | 500mg/l≤鹽含量≤4000mg/l | 離子交換膜 | 電場力 |
| 反滲透 | 含鹽廢水、高分子廢水 | 0.0004-0.06μm水 | ss≤500mg/l的污水 | 非對稱膜或復合膜 | 1-10MPa壓力差 |
| 微濾 | 水中SS、高分子物質 | 0.02-10μm粒子,ss | ss≤300mg/l的污水 | 多孔膜 | ≤0.1MPa壓力差 |
| 超濾 | 水中大分子物質 | 10-200大分子溶質 | ss≤50mg/l的污水 | 非對稱膜 | 0.1-1MPa壓力差 |
| MBR | 水中SS、高分子、大分子物質 | ss、0.02-10μm粒子、10-200大分子溶質 | ss≤500mg/l的污水 | 非對稱膜、復合膜、多孔膜 | 0.1-10MPa壓力差 |
結合以上對目前常用的污水深度處理技術的介紹,下面就各深度處理技術進行比較,結果如下:
生活污水深度處理工藝分析表
| 工藝名稱 | 吸附離子交換法 | MBR法 | 過濾處理 |
| 污染物去除率 | 較高 | 較高 | 適中 |
| 占地面積 | 較大 | 小 | 小 |
| 建設投資 | 較高 | 較高 | 適中 |
| 運行維護 | 運行維護較為復雜運行費用較高,需定期更換吸附/離子交換柱 | 需要不定期反洗,更換膜,運行維護費用較高 | 運行維護簡單,能夠實現全自動運行,運行費用較低 |
通過以上對比,本項目的三級處理(深度處理階段)選擇膜分離技術作為深度處理工藝。參考《膜分離法污水處理工程技術規范》(HJ579-2010)中,相關內容描述,采用MBR技術,可以根據進出水水質要求,靈活選擇:反滲透膜、微濾膜、超濾膜中的一種或幾種膜,該技術有以下優點:出水水質優質穩定、剩余污泥量少、占地面積小設置不受場合限制、可去除氨氮及難降解有機物、操作管理方便易于實現自動控制。基于MBR技術的特點,該技術已成為目前最常用的污水深度處理技術。
1.1 消毒處理方案的選擇
1.1.1 常用的消毒處理方法
常用的污水處理工藝消毒方法有氯消毒、紫外、臭氧、熱處理等。(1)氯消毒
投加次氯酸鈉是氯消毒中常用的一種方式,次氯酸鈉和水發生下列反應:
NaClO + H2O = HClO + NaOH
HClO → HCl + [O]
HClO → HCl + [O]
次氯酸鈉消毒殺菌最主要的作用方式是通過它的水解作用形成次氯酸,次氯酸再進一步分解形成新生態氧[O],新生態氧的極強氧化性使菌體和病毒的蛋白質變性,從而使病原微生物致死。
(2)紫外線消毒
紫外線消毒是一種物理消毒方法, 紫外線消毒并不是殺死微生物, 而是去掉其繁殖能力進行滅活。紫外線消毒的原理主要是用紫外光摧毀微生物的遺傳物質核酸( DNA 或RNA ), 使其不能分裂復制。除此之外, 紫外線還可引起微生物其他結構的破壞。
(3)臭氧消毒
臭氧( O3 ) 是氧( O2 ) 的同素異形體, 常溫常壓下為藍色氣體。臭氧具有很強的氧化能力( 僅次于氟), 能氧化大部分有機物 。
(4)二氧化氯消毒
二氧化氯在水中溶解度是氯的5倍, 氧化能力是氯氣的2. 5倍左右, 它是一種強氧化劑 ,二氧化氯性質不穩定, 只能采用二氧化氯發生器現場制備。
1.1.1 消毒工藝比選及確定
常見消毒工藝的對比如下表所示:常見消毒工藝對比表
| 項目 | 液氯 | 次氯酸鈉 | 二氧化氯 | 臭氧 | 紫外線 |
| 殺菌有效性 | 較強 | 中 | 強 | 最強 | 強 |
| 效能 對細菌 | 有效 | 有效 | 有效 | 有效 | 有效 |
| 對病毒 | 部分有效 | 部分有效 | 部分有效 | 有效 | 部分有效 |
| 對芽孢 | 無效 | 無效 | 無效 | 有效 | 無效 |
| 一般投加量(mg/L) | 5—10 | 5—10 | 5—10 | 5—10 | |
| 接觸時間/min | 10—30 | 10—30 | 10—30 | 5—10 | 10—100s |
| 一次投資 | 低 | 較低 | 較高 | 高 | 高 |
| 運轉成本 | 便宜 | 較便宜 | 貴 | 最貴 | 較便宜 |
| 優點 | 技術成熟,投配設備簡單,有后續消毒作用 | 可以海水或濃鹽水做原料,也可購買商品次氯酸鈉,使用方便 | 使用安全可靠,有定型產品 | 能有效去除中水中殘留有機物、色、臭,受中水溫度、pH影響 | 殺菌迅速,無化學藥劑 |
| 缺點 | 有臭味、殘毒,使用時安全措施要求高 | 維護管理 | 現場制備,維修管理要求高 | 現場制備,設備管理復雜,剩余臭氧需做消除處理 | 消毒效果受出水水質影響大,設備無定型產品,貨源不足 |
| 簡單 | |||||
| 使用條件 | 大、中型中水處理廠,最常用方法 | 中、小型中水處理工程 | 中、小型中水處理廠 | 有要求出水水質較好,排入水體的衛生條件要求較高 | 隨著設備組建成熟,正日益廣泛運用 |
通過以上比選,綜合運行成本和管理方式,并綜合貴方意愿,本項目采用投加次氯酸鈉的方式進行消毒。該方法快速持久、效率高、安全無毒、便于管理。
1.1 輔助處理方法的選擇
1.1.1 污泥處理
污泥處理 (sludge treatment )是指對污泥進行濃縮、調質、脫水、穩定、干化等減量化、穩定化、無害化的加工過程。本項目污水處理站的處理規模不大。另外考慮到整個系統為地下構筑物,如果設立污水脫水系統不方便操作,且設立污泥脫水設備會帶來臭味問題(污泥脫水間是污水處理系統中最大的臭味產生源)。
根據以上運行情況,不宜設置污泥脫水系統。但為保證處理系統正常穩定運行,污泥池置于成套一體化污水處理設備中,將多余污泥貯存、濃縮和消毒,由甲方不定期外運,統一處置。
1.1.2 曝氣方式
本項目所選用工藝包含生化處理,對于生化處理的關鍵就是缺氧好氧階段的生物降解,較為常用的曝氣方式有:微孔底曝、射流曝氣、轉刷表曝、跌水曝氣等不同方式,其中在中小型污水處理站中采用最多的是微孔底曝和射流曝氣。本方案內就不同曝氣方式的充氧效率、曝氣效果建設投資等進行以下對比分析:鼓風機+微孔曝氣曝氣與潛水射流曝氣工藝優劣對照表
| 序號 | 項目 | 鼓風機+微孔曝氣 | 射流曝氣 |
| 1 | 充氧效率 | 產生氣泡細、多,汽水接觸面積大,沖氧效果好,充氧率較高 | 產生氣泡較大、為氣水混合物 |
| 充氧率較低 | |||
| 2 | 曝氣效果 | 曝氣管及曝氣頭遍布整個水池,曝氣均勻 | 僅在曝氣機前方有較好的布氣效果, |
| 容易產生死角 | |||
| 3 | 建設投資 | 投資低,設備數量少 | 投資高,雖然減少了曝氣管的費用 |
| 但相應曝氣設備配備數量多 | |||
| 4 | 運行調控性 | 可根據水量多少決定開啟曝氣風機數量,備用機輪更換簡單,且不影響使用效果。 | 一旦安裝完成,就不能夠隨意增減曝氣機數量,否則將影響曝氣效果,不能實現備用機輪換,否則影響使用效果。 |
| 5 | 設備維護性 | 設備放在設備間中不直接與污水接觸,更換和維護簡單。 | 設備擺放在污水中,易堵塞,較易 |
| 出問題,更換和維護困難 | |||
| 6 | 設備通用性 | 應用廣泛,設備通用性好 | 應用面窄,設備通用差 |
根據以上分析,本項目生化處理階段所需的曝氣方式采用溶氧效率和氧轉移效率高的低噪音回轉式鼓風機+微孔曝氣頭。
1.1 工藝確定
綜上所述,本設計推薦 A/O+MBR工藝作為本工程的主體工藝。本項目所需要處理的廢水為綜合生活污水,主要是有機物(如蛋白質、碳水化合物、脂肪、尿素、氨氮等) 和大量病原微生物(如寄生蟲卵和腸道傳染病毒等)。存在于生活污水中的有機物極不穩定,容易腐化而產生惡臭。細菌和病原體以生活污水中ss有機物為營養而大量繁殖,可導致傳染病蔓延流行。近年來,MBR處理生活污水的出水水質優良,得到廣泛認可,本設計采用MBR工藝。為保證MBR工藝的高效運行達到最好的處理效果,在MBR前端采用A/O工藝,能夠取得比較滿意的脫氮效果,同樣可達到高的COD和BOD的去除率,減少MBR池的運行負荷。
A/O+MBR 工藝的聯合使用,出水水質優良,可直接達標外排或回用。
2 工藝流程說明
2.1 工藝流程圖

1.1 工藝流程簡介
綜合生活污水經管網匯集在化糞池內進行預處理。化糞池出水流入成套一體化污水處理設備中進行處理。本項目成套一體化污水處理設備內含:調節池+A(缺氧池)+O(好氧池)+MBR膜池+清水消毒池+污泥池。污水在一體化污水處理設備中的凈化過程及原理如下:污水自流進入調節池中初步降解NH3-N、COD、BOD等污染物指標,再通過潛污泵將調節池內的污水提升至缺氧反應池中,經過缺氧生化反應去除NH3-N、COD、BOD等污染物指標,之后污水自流進入好氧反應池中,在好氧環境下繼續降解污水中的污染物質,污水在好氧池末端,通過回流泵的作用下,回流到缺氧池,從而實現污水的循環處理凈化。缺氧池、好氧池底部均安裝有微孔曝氣系統,曝氣機送來的壓縮空氣擴散到混合液中,以供活性污泥有所需的溶解氧,池中的活性污泥在新陳代謝過程中將污水中的有機物氧化分解,此時污水已經去除大部分BOD、COD、SS、以及氨氮等有機物。好氧池中的部分污水,自流進入好氧MBR膜池中,MBR膜系統自帶曝氣頭,因此,污水在通過MBR膜過濾的同時也在進行好氧反應,同時MBR膜在曝氣作用下,不斷對膜表面進入吹掃,可以避免膜表面形成生物膜。MBR膜池出水進入清水消毒池中進行最后的消毒,最終滿足回用要求,根據業主方實際情況進行回用。污泥池中污泥經自然沉淀濃縮后,由業主方不定期抽吸外運處理,上清液自流至調節池。
1 水質凈化分析
本項目選用的是化糞池+A/O+MBR的組合工藝,就綜合進水水質和出水水質,列出每個水處理工藝環節的污染物去除率:| 指標 | CODcr | BOD5 | TN | NH3-N | SS | TP |
| 生活污水設計進水水質 | 350 | 180 | 50 | 26 | 200 | 2 |
| 化糞池污染物去除率 | 40% | 35% | 65% | |||
| 污水中污染物剩余值 | 210 | 117 | 50 | 26 | 70 | 2 |
| A/O工藝污染物去除率 | 85% | 85.00% | 70% | 85% | 90% | 85% |
| 污水中污染物剩余值 | 31.5 | 17.55 | 15 | 3.9 | 7 | 0.3 |
| MBR膜污染物去除率 | 75% | 70.00% | 80% | 85% | 95% | 80% |
| 污水中污染物剩余值 | 7.875 | 5.265 | 3 | 0.585 | 0.35 | 0.06 |
| 設計出水水質(一級A標準) | 50 | 10 | 15 | 8 | 10 | 0.5 |
| 削減率(%) | 97.75% | 97.08% | 94.00% | 97.75% | 99.83% | 97.00% |
通過對污水中污染物最終剩余值進行分析,通過化糞池+A/O+MBR的組合工藝,出水可以滿足《城鎮污水處理廠污染物排放標準》中的一級A標準,可直接外排。
1 工藝設計參數
設計處理能力:設計廢水處理規模為100 m³/d,每天運行24h;設計小時流量為4.17 m³/h 。1.1 化糞池
根據《鋼筋混凝土化糞池標準圖集》03S720的相關規定,化糞池有效容積計算公式為:W=W1+W2
式中,W-----化糞池有效容積,m³
W1-----化糞池內污水部分容積,m³
W2-----化糞池內污泥部分容積,m³
本項目設計的化糞池水力停留時間為12h,清掏周期為90d。
1.2 調節池
調節池是穩定污水處理系統進水水量,保證處理系統能夠穩定運行的構筑物。污水處理站是24h連續運行,調節池按2-4小時水力停留時間設計。調節池設計參考平流式沉淀池設計公式進行設計。污水泵選型:由于市場上水泵的選型均大于所設計的流量,因此水泵的使用過程中需要設置分流管,用于水力攪拌。水泵的選擇建議選用1.25倍的設計流量選擇,設計流量可以通過閥門和轉子流量計進行精確的調整,保證進水流量與設計流量相同。水泵的運行方式為:(1)當水位達到啟泵水位時,水泵啟動;(2)水位下降至停泵水位時停泵,如此循環。
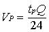
1.3 厭氧池
厭氧池指非充氧池(區),溶解氧濃度一般小于0.2 mg/L,主要功能是進行磷的釋放。根據《厭氧-缺氧-好氧活性污泥法污水處理工程技術規范》(HJ576-2010)中厭氧池有效容積計算公式為:
tp——厭氧池(區)水力停留時間,根據規范選用2h;
Q——污水設計流量,m³/d;
1.4 缺氧池
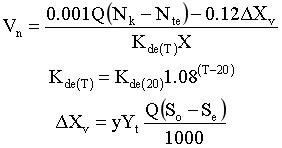
缺氧池指非充氧池(區),溶解氧濃度一般小于0.2 - 0.5 mg/L,主要功能是進行反硝化脫氮。根據《厭氧-缺氧-好氧活性污泥法污水處理工程技術規范》(HJ576-2010)中缺氧池有效容積計算公式為:
Q——污水設計流量,m³/d;
Nk——生物反應池進水總凱氏氮質量濃度,mg/l;
Nte——生物反應池出水總氮質量濃度,mg/l;
△Xv——排出生物反應池系統的微生物量,kg/d;
Kde(T)——T℃時脫氮速率(NO3-N/MLSS),kg/(kg•d);
X——生物反應池內混合液懸浮固體(MLSS)平均質量濃度,g/l;
Kde(20)——20℃時的脫氮速率(NO3-N/MLSS),kg/(kg•d),宜取0.03-0.06;
T——設計水溫,℃;
y——單位體積混合液中,MLVSS占MLSS的比例,g/g;
Yt——污泥總產率系數(MLSS/BOD5),kg/kg,;宜根據試驗資料確定,無試驗資料時,系統有初沉池時取0.3-0.5,無初沉池時取0.6-1.0;
So——生物反應池進水五日生化需氧量濃度,mg/l;
Se——生物反應池出水五日生化需氧量濃度,mg/l。
根據水力停留時間校核:2-4h

t——水力停留時間,h;
配置設備:缺氧池填料填充率按設計標準選定。
1.5 好氧池
好氧池指充氧池(區),溶解氧濃度一般不小于2 mg/L,主要功能是降解有機物、硝化氨氮和過量攝磷。根據《厭氧-缺氧-好氧活性污泥法污水處理工程技術規范》(HJ576-2010)中好氧池有效容積計算公式為:


V0——好氧池(區)容積,m³;
Q——污水設計流量,m³/d;
S0——生物反應池進水五日生化需氧量濃度,mg/L;
Se——生物反應池進水五日生化需氧量濃度,mg/L;
θco——好氧池(區)設計污泥泥齡值,d;
Y1——污泥總廠率系數,kgmlss/kgBOD5,宜根據試驗資料確定,無試驗資料時,系統有初沉池時取0.3~0.5,無初沉池時取0.6~1.0;
X——生物反應池內混合液懸浮固體(MLSS)平均濃度,gMLSS/L
F——安全系數,取1.5~3.0;
H——硝化菌生長速率,d-1;
Na——生物反應池中氨氮濃度,mg/L;
KN——硝化作用中氮的半速率常數,mg/L,一般取1.0;
T——設計水溫,℃。
各個生物反應池所需要的氧的曝氣量不同,以下為曝氣量的測算方式:
根據規范,反應池設計需氧量按以下公式計算:

O2——設計需氧量,kgO2/d;
Q——設計水量;
S0——接觸氧化池進水,mg/l;
Se——接觸氧化池出水,mg/l;
ΔXv——排出系統微生物量,kg/d;
Nk——進水總凱氏氮濃度,mg/l;
Nke——出水總凱氏氮濃度,mg/l;
Nt——進水總氮濃度,mg/l;
Noe——出水硝態氮濃度,mg/l;
a——碳的氧當量,1.47;
b——氧化每公斤氨氮所需氧量,kgO2/kgN;
c——細菌細胞氧當量1.42。
供氣量校核
根據規范規定,對于生活污水、城鎮污水或水質與之類似的工業廢水,最小氣水比不宜小于2:1-3:1,最大氣水比不宜超過15:1-20:1。
混合液回流泵的設計:根據《厭氧-缺氧-好氧活性污泥法污水處理工程技術規范》(HJ576-2010),混合液回流比一般取值范圍為100 %-400 %,本項目根據規范規定,從范圍中取一定值作為本項目的回流比值。
1.1 MBR膜池
MBR為膜生物反應,是一種將膜分離技術與生物技術有機結合的新型水處理技術。利用膜對生化反應池內的含泥污水進行過濾,實現泥水分離。一方面,膜截留了反應池中的微生物,使池中的活性污泥濃度大大增加,達到很高的水平,使降解污水的生化反應進行得更迅速更徹底;另一方面,由于膜的高過濾精度,保證了出水清澈透明,得到高質量的產水。膜池設置 MBR 膜組件系統及配套的出水、反洗、清洗、吹掃等系統。MBR 膜區內的吹掃(曝氣)有兩個用途,一是用于膜組件周圍的氣水振蕩, 保持膜表面清潔, 二是為提供生物降解所需要的氧氣。通過膜的高效截留作用,全部細菌及懸浮物均被截流在曝氣池中,可以有效截留硝化菌,使硝化反應順利進行,有效去除氨氮;同時可以截留難于降解的大分子有機物,延長其在反應器中的停留時間,使之得到最大限度的降解。 剩余污泥通過膜區剩余污泥泵定期排出,可控制系統內活性污泥的濃度及污泥齡。本工藝有較高的COD的去除率,可達到90%以上,BOD的去除率可達到95%以上,產水懸浮物和濁度近于零,水質良好穩定,可以直接回用。
MBR 工藝廣泛運用于污水處理工程中,存在以下明顯的優點:
(1)出水水質優良、穩定。
(2)工藝簡單。由于膜的高效分離作用,不必單獨設立沉淀、過濾等固液分離池。
(3)占地面積少。處理單元內生物量可維持在高濃度,使容積負荷大大提高,同時膜分離的高效性,使處理單元水力停留時間大大縮短。
(4)污泥排放量少,只有傳統工藝的30%,污泥處理費用低。
(5)膜生物反應器可以濾除細菌、病毒等有害物質,可顯著節省加藥消毒所帶來的長期運行費用并擴大污水回用范圍。
(6)系統抗沖擊性強,適應范圍廣。
(7)較好的設備化和自動化,管理簡便。
(8)模塊化設計,易于擴容。
1.2 清水/消毒池
經膜過濾的出水尚有一部分病毒不能被去除,出水再經消毒即可達標回用,本設計采用次氯酸鈉消毒。消毒池出水即可達標外排。1 工程清單
1.1 主要構筑物一覽表主要構筑物一覽表
| 序號 | 名稱 | 單位 | 數量 | 備注 |
| 1 | 成套一體化污水處理設備 | 個 | 1 | 防腐玻璃鋼材質 |
| 2 | 清水池 | 個 | 1 | 根據業主方意愿,可自選:鋼混結構或玻璃鋼材質,容積暫定 |
| 3 | 設備間 | 座 | 1 | 根據業主方意愿,可自選:鋼混結構、磚砌最終與整體環境協調 |
1.2 主要設備清單一覽表
| 序號 | 名稱 | 規格型號 | 單位 | 數量 |
| 1 | 格柵池內粗格柵 | 4目鋼絲網 | 張 | 2 |
| 2 | 格柵池內細格柵 | 8目鋼絲網 | 張 | 2 |
| 3 | 切割式污水提升泵 | 50WQ10-20-2.01),口徑:De50mm,流量:6 m³/h,揚程:20m,功率:2.0加配原裝法蘭彎頭 | 臺 | 1用1備 |
| 4 | 缺氧池填料 | 彈性填料 | m³ | |
| 5 | 缺氧池曝氣盤 | 型號:φ215,材質:硅膠膜 | 個 | |
| 6 | MBR膜池混合液回流泵 | 型號:60WQ15-20-2.5JY)(1),流量:6m³/h,揚程:20m,380V,2.5KW,口徑:De60,必須加配原裝法蘭彎頭 | 臺 | 1用1備 |
| 7 | 好氧池填料 | 彈性填料 | m³ | |
| 8 | 好氧池曝氣頭 | 型號:φ215,材質:硅膠膜 | 個 | |
| 9 | MBR膜 | / | ㎡ | |
| 10 | MBR膜池出水泵 | 型號:40G10-18SZ,Q=7m3/h,揚程:20吸程:9m,N=2.5w,口徑:1.5寸,法蘭連接 | 臺 | 1用1備 |
| 11 | MBR膜反洗泵 | 型號:40G10-18SZ,Q=7m3/h,揚程:16m,吸程:9m,N=2w,口徑:1.5寸,法蘭連接 | 臺 | 1用1備 |
| 12 | 污泥提升泵 | 流量:6 m³/h,揚程:20m,380V,2.5KW,口徑:De60,必須加配原裝法蘭彎頭 | 臺 | 1用1備 |
| 13 | 回轉式鼓風機 | HC-40S,Q=0.59m3/min,P=0.5kgf/cm2,N=0.75Kw,380V | 臺 | 1用1備 |
| 14 | 浮球控制器 | 浮球式 | 組 | |
| 15 | 控制系統 | 含PLC控制系統 | 套 | |
| 16 | 彎頭、三通、法蘭等 | De160、De50、De40等 | 批 | |
| 17 | 污水、污泥管等 | De160、De50、De40等 | 批 | |
| 18 | 止回閥、球閥、閘閥、調節閥等 | De50、De40等 | 批 | |
| 19 | 電線電纜(電機與控制柜接線) | 與系統配套3*1.5²/2*1.5²/2*0.752等 | 批 |
以上設備及所需材料為初步設計清單,不做為最終清單,需根據現場實際情況再定!
本工程遵循適用、先進、美觀、經濟的原則,滿足建設方要求,符合我國有關的規范、規程和規定。采用新的設計手法,樹立新的設計概念。環境設計、立面造型等方面、力求清晰、簡潔。
本項目涉及的建筑為設備間,占地面積大于等于3㎡。
1 電氣儀表設計
1.1 設計依據
根據工藝等有關專業提供的設備配置容量和推薦的方案等有關技術資料要求,進行本工程項目的電氣設計。本廢水處理站處理規模為100 m3/d。本工程電氣設計執行的規范如下:
(1)《10kV及以下變電所設計規》 (GB50053-94)
(2)《供配電系統設計規范》 (GB50052-2009)
(3)《3-110kV高壓配電裝置設計規范》 (GB50060-2008)
(4)《電力工程電纜設計規范》 (GB50217-2007)
(5)《爆炸和火災危險環境電力裝置設計規范》 (GB50058-2014)
1.2 設計范圍
(1)工藝設備的供配電;(2)操作間的照明、防雷和接地。
1.3 繼電保護
1. 電源進線采用低壓負荷開關進行短路及過負荷保護。2. 低壓進線總開關設過載長延時、短路速斷保護,低壓設備及饋電線路設短路及過負荷保護。
設備內的所有子設備均通過配套的控制系統啟動。
本項目所使用的所有子設備,均可采用自動控制和手動控制兩種控制方式,兩種控制方式,設有手動/自動轉換開關,當置于手動狀態時,可在機旁就地手動操作,主要用于單機檢修、調試。當置于自動狀態時,可在PLC進行單元自動控制。正常運行采用自動控制方式。
1.4 照明
室內照明采用熒光燈。1.5 自控設計
根據工藝要求,本系統的控制對象主要對泵、攪拌機的閥們等開關量設備進行控制,輔以pH值、液位等模擬量監控。自控的主要要求:工藝設備的啟停;
報警內容:設備狀態異常、電源故障;
主要控制回路:泵與液位的聯鎖控制。處理設備采用液位計檢測控制相應泵的啟停,在控制柜統一操作。
2 運行管理
2.1 人員編制
結合該污水處理站實際情況和采用的工藝技術和裝置設備,確定本污水處理站為全自動運行,可由1名后勤工作人員兼職維護即可。2.2 管理設施
本工程主要的管理設施包括:1.本工程主體構筑物。
2.本工程中的各配電線路及機電設備。
3.本工程設施的自控、監控、檢查、觀測等附屬設備。
4.本工程的通訊、照明線路。
5.本工程安全、衛生。
2.3 運行管理內容
1)定時巡視生產現場,發現問題及時處理并做好記錄。2)根據進水水質、水量變化,及時調整運行條件。
3)及時整理匯總、分析運行記錄,建立運行技術檔案。
4)及時清理柵渣和運送污泥,減小對環境的影響。
5)建立處理構筑物和設備、設施的維護保養工作及維護記錄的存檔。
6)建立信息系統,定期總結運行經驗。
2.4 檢修維護
1)檢修維護內容:整體設備檢修維護和子設備檢修維護;2)維護期限一年,自設備安裝完成之日算起,該時間為設備實際安裝完成時間,與設備安裝調試完成后的單據簽收時間無關;
3)本設備根據其使用操作說明書的規定,定期進行維護;
4)各子設備需定期進行維護和檢查。
2.5 故障處理
1)各子設備發生故障時,其檢修以不影響整個工程的運行為原則,單獨檢修完成后,再投入正常使用,檢修時可切換到并聯系統運行保證一定的處理能力。2)若設備處于自動控制狀態時發生故障,需立即將其切換至現場手動控制,待修復后重新投入正常控制。
3)出現嚴重故障時,認真做好記錄,及時通知專業廠家或技術人員檢修。
3 售后服務及保障措施
3.1 技術服務內容
a.調試前工程設計,包括設計方案編制,設計文件編制,施工圖設計(總平面、工藝、土建、非標設備及標準設備選型、管路、電氣系統等),在合同簽訂后規定時間內完成并提交設計圖紙及設計文件。b.若土建工程由我方負責實施,甲方需做好三通一平工作;工藝設備工程由我方負責采購、安裝等現場技術指導,并解決現場施工實際技術問題。
c.系統工程調試,包括設備調試、開車試運行。
d.起草制訂操作規程和負責操作人員技術培訓。
為使污水處理站正常穩定運行,除設計、土建施工、設備質量、工程安裝是主要原因外,操作人員的熟練操作,掌握技能十分重要,是保障系統日常運行可靠性的關鍵措施,故加強對操作人員的技術培訓尤為必要和重要。
人員技術培訓(包括上技術課,提供操作規程和技術規范資料等),由我單位負責。通過技術培訓,使操作人員懂處理工藝,懂設備性能,懂操作技術,懂設備維修、保養和管理,會熟練操作,會排除一般性故障。確保污水處理工程(裝置)正常、穩定運行和處理后水質達到設計要求。
我們還將按照以下主要措施對項目管理人員提供培訓。(1)在污水處理站進行不少于7個完整工作日的技術工人安全作業以及現場操作培訓以及不少于2個完整工作日的高級技術管理人員的技術培訓服務;(2)在培訓技術后,在業主同意的條件下,對所有污水處理系統相關管理人員進行專業培訓測試。
3.2 售后服務
我公司嚴格按技術標準生產產品、設備品牌、設備規格及技術標準提供全新設備,不以次充好假充真;提供污水處理設備出廠合格證。我公司承諾設備質保期一年,質保期內非人為損害及自然災害等不可抗力因素外、設備自身出現任何問題都由我公司無條件進行維修或更換,質保期外若設備出現問題,我公司在接到維修電話后24小時候內作出反應、對接設備問題后可到現場進行維修或更換,我公司收取費用不得高于市場價。
1 附件-----公司案例圖
地埋式一體化污水處理設備、玻璃鋼材質







點擊聯系銷售QQ